Turbo码译码原理以及算法(一)
温馨提示:这篇文章已超过375天没有更新,请注意相关的内容是否还可用!
前言:
本文对最近学习的Turbo译码原理,以及译码器采用的MAP译码算法。根据最近学习的几篇论文,结合自己的理解,作一个总结,本文只作为自己的学习记录,仅供阅读参考。
一、Turbo码基本流程
Turbo 码采用的是循环迭代的软输入软输出的译码方式,并且该方法主要使用一个译码器的外信息当作对方译码器输入端的先验信息,以提高译码性能。这样可以让两个分量译码器输出的序列能够得到充分的利用, 从而提高 Turbo 码的纠错能力。采用迭代译码的方式使得最后的结果逼近最大似然。
译码器主要的组成部分有:两个软输入软输出 SISO 的译码器、交织、解交织和判决模块。每个分量译码器都有三个输入(原始序列、校验序列、先验信息)。首先将接收到的原始序列与校验序列 1 输入到 SISO1 中去,根据给定的算法完成译码,输出为外信息 1。继而送入到交织器对外信息 2 的地址进行置换,当作SISO2输入端的先验信息,同样SISO2也需要对输入端的先验信息作相关的处理之后,当作外信息 2 输出,在通过解交织后送入到 SISO1 中,作为下次迭代SISO1 的输入。SISO1 和 SISO2 通过持续的交换相互间的外信息, 增加彼此之间的相关性。如此不断的进行相同的操作,直至译码达到迭代次数后,将输出的序列经过判决器进行判决处理后。得出最后的译码序列。
二、分量译码器的译码算法
常见的有两大类算法,分别是根据最大似然准则的SOVA算法,以及根据最大后验概率准则的MAP算法。MAP 类译码算法有三种算法,即基本的MAP 算法、对数域上的 Log-MAP 算法以Max-Log-MAP 算法,这里重点介绍MAX_Log_MAP算法。
上图是子译码器结构框图。MAP 算法主要是通过计算不同码字的概率,即 P u u Y ( | ) i ,然后,利用判决器对输出结果进行“0”、 “1”判决。
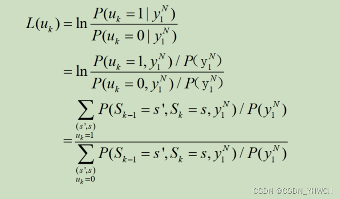
根据Turbo 码的编码的状态网格图,根据卷积码的译码网格图,将每个译码器看作一个马尔可夫(Markov)链,即发送 uk的概率可以用状态转移概率之和表示。uk 表示的是接收端的信息比特, 范围为(0,1), xks, xkp 是编码后生成的原始序列和校验序列,我们用 Sk -1 和Sk 表示相邻状态节点,若当前状态 Sk=s ,上一个状态为 S k -1= s ', 由输入信息触发的状态转移,可以用( s', s) 形容, uk =1代表的是所有接收端为 1 带来的从 s’到 s 状态的所有集合。
式中将接受到的信息序列 y1N 根据时刻分为y1(k-1),yk,yN(k+1) 以 k 时刻为界限,k 时刻之前传输的信息序列, k 时刻传输的信息序列以及 k 时刻之后传输的信息序列。为了方便后面的运算,定义以下几个参数:
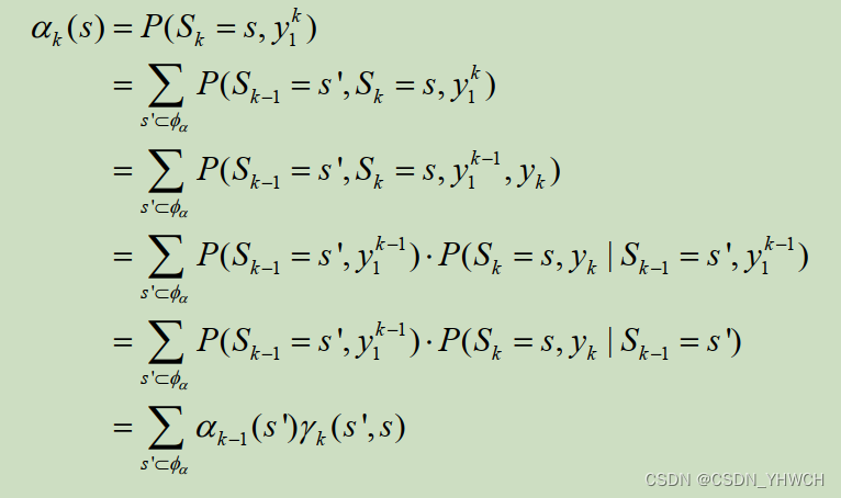
(1)前向递推的计算,根据贝叶斯公式,以及无记忆信道特点,未来的状态只决定于当前状态值,与过去状态无关。
因为移位寄存器的起始状态为0,所以将前向状态度量的初始值为:
编码完成后,需要将寄存器清零,使其恢复到初始值的零状态。所以,其初始条件
设置为:
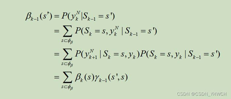
根据前向递推和后向递推的计算,需要给出前向和后向状态的分支度量值,因为分支度量的值未知,所以用什么方式去计算分支度量值是译码算法的重要内容.
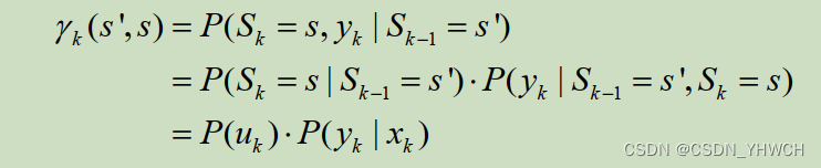
(3)分支度量的计算:
式中, uk 表示引起状态 到状态
转移需要的比特信息,
代表uk 的先验信息。
Log-MAP 算法是在对数域中实现的,目的是为了减少 MAP 算法过程中的运算量。其过程可以描述为:将 MAP 算法中所有的计算表法式全部取对数,这样就将原来计算过程中的乘法运算通过取对数将乘法转化为加法运算。其具体推导过程如下:
并且在 Log-MAP 算法中引入了雅可比对数函数,函数定义如下:
式中函数 max(x, y)和|x-y|是采用选择器和减法的方式实现的.入修正函数:
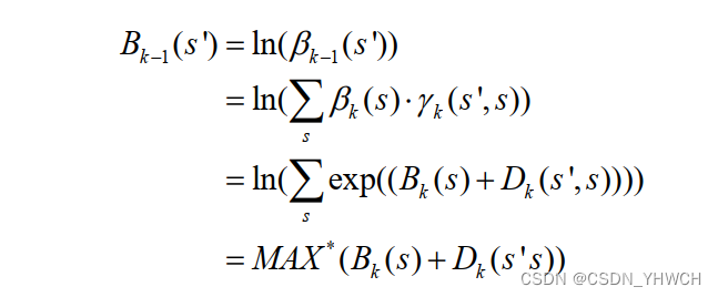
对前向后向递推进行归一化,可以进一步推导为:
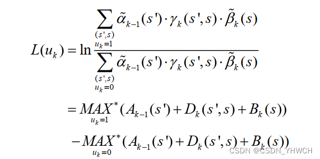
根据对前向递推 Ak (s ) 、后向递推 Bk (s ) 和分支转移度量 Dk ( s) 的简化,可以得到对
数似然比的简化公式为:
以上就是对 Log-MAP 算法的推导, 能够得出, Log-MAP 算法虽然比 MAP 算法运算量少,并且在原有算法的基础上引入了雅可比函数,将对数运算转化为求最大值, 之后与修正项相加,而修正项是通过查表得来的。MaxLog-MAP算法的构想是对max*函数的,采取将max*中的修正项直接等于0的措施,使得 max*函数的直接转换为求最值计算,即:
根据介绍的几种译码算法的计算过程推导,具体的译码计算过程主要分为以下几个步骤:
(1)首先计算分支转移度量 Dk (s) ;
(2)利用分支转移度量值和前向递推的初始值,计算前向递推项 Ak (s) ;
(3) 利用分支转移度量值和后向递推的初始值,计算后向递推项 Bk (s) ;
(4) 将上述三个值求和取最大值,计算对数似然比llr ,并且求取出相应的外信息值。
三路数据通过信道传输,最终的目的是计算出对数似然比的值,通过先计算分量译码器的外信息,并且将此用作对方译码器输入端的先验信息,以此类推进行计算,在结束完迭代运算后,对最后一次运算的信息进行判决处理,就能够完成译码器的译码工作,得到最终的信息值。


















