使用 TDOA 进行声源定位
温馨提示:这篇文章已超过468天没有更新,请注意相关的内容是否还可用!
首先我们先介绍一下TDOA的概念。如图所示,假设我们在空间中有一个声源和两个麦克风。位置分别为M1和M2,接收信号为x1和x2. 则声源信号到达两个麦克风的TDOA为。例如,如果我们使用M2作为参考信号,则τ2=0。当麦克风阵列的几何形状已知时,声源定位问题就变成了估计时间延迟的问题。常用的时延估计方法有很多,比如利用广义互相关函数来估计时延,或者利用倒谱分析来进行时延估计。它使用加权函数对互功率谱域进行加权,然后经过IFFT运算后找到峰值估计延迟。声源位置大约为45度角,麦克风之间的距离为0.15m,采样率为48kHz。使用 gcc-phat 进行延迟估计。此外,波束形成与声源定位密切相关。
根据现有的研究成果,声源定位(SSL)的方法有多种:基于最大输出功率可控波束形成的定位方法、基于高分辨率频谱估计的定位方法、基于到达时间的定位方法。 基于到达时间差(TDOA)估计的定位方法和基于机器学习的方法。 其中,基于时延估计的定位方法具有计算量小、实时性好、实用性强的特点。 我们首先介绍一下这种比较简单的声源定位算法。 基于TDOA的方法一般分为两个步骤。 首先计算声源信号到达麦克风阵列的时间差(时间延迟估计),然后根据麦克风阵列的几何形状建立声源定位模型并求解以获得位置信息(定位估计)。
TDOA
TDOA
首先我们先介绍一下TDOA的概念。 如图所示,假设我们在空间中有一个声源(记为s(t),其在空间中的位置为S)和两个麦克风(记为m1和m2,在空间中)。 位置分别为M1和M2,接收信号为x1(t)和x2(t)
那么麦克风m1和m2接收到的信号为:
其中,τ1和τ2分别为声源到达两个麦克风的延迟时间,n1(t)和n2(t)为加性噪声。则声源信号到达两个麦克风的TDOA为
τ1和τ2可以通过以下公式计算
其中 c 是声速。 一般我们选择麦克风信号作为参考信号。 例如,如果我们使用M2作为参考信号,则τ2=0。 当麦克风阵列的几何形状已知时,声源定位问题就变成了估计时间延迟的问题。
延迟估计
十岩宫寺
常用的时延估计方法有很多,比如利用广义互相关函数(Generalized Cross Correlation,GCC)来估计时延,或者利用倒谱分析来进行时延估计。 这里介绍常用的基于广义互相关函数的时延估计方法。
之前我们介绍过互相关函数,广义的互相关函数是为了减少实际环境中噪声和混响的影响。 它使用加权函数对互功率谱域进行加权,然后经过IFFT运算后找到峰值估计延迟。 流程如下图所示:
广义的GCC计算公式为:
其中,Ψ12为频域加权函数。 常用的有以下几种:
Gx1x2(ω)为互谱,其计算公式为:
最后,我们可以通过等式(8)估计语音信号到达两个麦克风的延迟。
定位估计
丁味古集
如果要确定声源在二维平面上的位置坐标,至少需要三个麦克风。 对于两个麦克风的情况,我们只能计算到达方向(DOA)。 在介绍如何估计定位之前,我们需要区分一下近场和远场。 假设声速波长为λ,麦克风之间的距离为d(有些地方称为孔径)。 那么当声源到麦克风的距离r大于2d2/λ时,就符合远场模型,反之,就是近场模型。 对于远场模型,将声源到达麦克风阵列的波形视为平面波,如下图所示:
此时,根据麦克风阵列的几何关系,我们有
然后我们就可以找出声源相对于麦克风阵列的角度
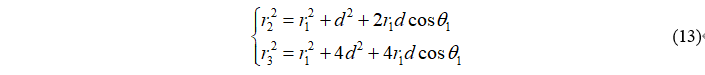
对于近场模型,声源到达麦克风阵列的波形被视为球面波,如下图所示:
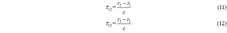
近场模型需要三个麦克风。 我们假设τ12和τ13分别是第二个和第三个麦克风与第一个麦克风之间的延迟,那么
根据麦克风阵列的几何关系,我们得到
其中,τ12和τ13是通过时延估计得到的,因此可以求解式(11)至(13)的方程组,然后利用正弦定理可以得到θ2和θ3。
声源定位
生源鼎伟
当麦克风孔径较小时,一般符合远场模型(不信的读者可以自行计算),所以这里采用远场模型来定位声源。 声源位置大约为45度角,麦克风之间的距离为0.15m,采样率为48kHz。 使用 gcc-phat 进行延迟估计。 结果如下图所示(代码和数据仍在公众号菜单更多->代码中)。
可以看出,大方向估计还是正确的。 聪明的读者一定发现了,一些声源定位的数据可以用来确定VAD结果。 这里的demo比较简单,使用的是单源自由场模型。 在实际情况中,需要考虑更多的问题,例如房间混响、噪声、声源数量等。 另外,gcc-phat只能用于双麦克风阵列。 如果您有多个麦克风,您可以使用空间线性预测方法,利用麦克风之间的冗余信息来获得更准确的定位结果。 此外,波束形成(BF)与声源定位密切相关。 由于时延相当于BF所需的转向量,因此也有基于BF的声源定位算法。 最后提一下机器学习/深度学习定位方法。 之前的流程保持不变,只是将最后一步通过最大值估计延迟改为使用机器学习模型来估计延迟,即模型输入为gcc-phat。 输出结果就是延迟。 然后根据这个时间延迟来定位声源。
参考:
[1]。
[2]。 Springer,麦克风阵列处理,2008 年
有网友将电脑系统升级到Win10后,发现现有系统上预装的浏览器使用起来不太舒服,有些下载的浏览器无法在Win10上使用。 那么,Win10可以使用什么浏览器呢? 今天小编精选了6款好用的Win10浏览器推荐给大家,一起来了解一下吧。
Win10浏览器
推荐用于 Windows 10 的 6 个有用浏览器
1. 谷歌浏览器
谷歌浏览器
Google Chrome 是由 Google 开发的开源网络浏览器。 该浏览器基于其他开源软件,包括WebKit和Mozilla,目标是提高稳定性、速度和安全性,并创建简单高效的用户界面。 它绝对是一款快速、简单且极其安全的网络浏览器! 做起来相对简单。 当您在日常使用中发现有用时,就会添加插件。 暂时添加的插件不多,因为插件太多会影响浏览器速度。
软件特点
1.解压后,运行“ChromePortable\Chrome”即可。 无需安装,存放于任意目录即可运行;
2.您可以在U盘等移动设备中运行Chrome便携版,您的个人设置、扩展程序、扩展程序设置将被完美保留;
3. 集成“AdBlock(去除网页广告)、Google Reader通知程序、PanicButton等三大扩展”
4. 关闭“关闭 Google Chrome 后继续运行后台应用程序”。
5.集成Chrome最酷的快速拨号扩展,让您直接访问您常用的网站,方便又美观!
6.实现优酷完美去除广告,无黑屏提示; 免费使用迅雷云点播(进入即用)
7.下载DBank华为网盘无需登录,无需输入验证码,直接下载!
8. IE模式网银支付更方便; 搜索增强功能,当重置默认的Google搜索时,可以方便地使用百度/Bing搜索;
9、可以在“设置-设置Google Chrome为默认浏览器”中设置为默认浏览器。
下载地址:谷歌浏览器
2.360浏览器
360浏览器
360安全浏览器9是360推出的新一代安全高速浏览器,经过反复推敲和修改,最终面向用户,在新标签页、内核、皮肤等方面全面创新,实现个性化推荐,增强用户体验。用户体验。 win10触摸屏体验对底层代码进行了重新构建和改进,显着提高了浏览器的稳定性和速度,让“更新后”的浏览器能够紧密满足用户需求。
特征
1.“更新发新”新标签页-知道你爱什么。 在信息爆炸的今天,我们需要信息,但我们常常被信息淹没。 小眉希望能选出您喜欢的、对您有用的信息,并在新标签页中呈现给您。 看新闻“我爱”,360浏览器就够了。 当然,如果你不习惯,也可以一键切换回熟悉的九方格。
2.“更新”皮肤——配色风格随心而变。 这次我们也重新优化了皮肤。 在集成SE8版本一些优秀功能的基础上,我们将其与最新的设计理念相结合进行创新。 其中,默认头像部分巧妙地与品牌符号“9”融为一体,调整后的蓝绿渐变色让浏览器更加年轻简洁,风格更加轻盈、灵活、清新。
同时,360安全浏览器采用了更加多样化的配色方案,更好地满足大家的需求。 同时,为了方便用户更换皮肤,换肤按钮依然位于浏览器的右上角。 用户可以一键进入360浏览器换肤中心进行皮肤修改。 总会有一个你喜欢的。
3.“更新更新”内核——运行更稳定、更快。 作为信息检索的重要工具,浏览器本身的性能以及打开网页的速度已经成为用户最关心的问题之一。 对此,在SE9版本中,360安全浏览器进行了全新的核心升级,将内核升级至chrome50内核,并对内核进行了精简,性能和速度大幅提升。 同时,360安全浏览器SE9版本还对底层代码进行了重构和完善,在快速打开网页的同时进一步保证了浏览器的稳定性。 在双重创新下,用户使用360安全浏览器SE9版时,无论是打开新闻网页、观看视频、还是玩游戏,都会比以前更加流畅。
4、“更新再更新”的win10触摸屏体验——Windows 10是平板电脑上网的首选。 作为微软的最新系统,自发布一年多以来,除了PC之外,Windows 10也成为了众多平板用户的选择。 然而,对于Windows 10中的浏览器来说,触摸屏体验参差不齐,有的甚至在执行捏合缩放等操作时出现明显的卡顿。 360浏览对SE9版本的工具栏图标、个人中心和菜单栏进行了重新设计,适当加大了工具栏图标的大小和整体间距,突出了点击形式和按钮反馈效果,将更加适合用户触摸屏操作。 当用户在触摸屏上点击、缩放、滑动时,360安全浏览器可以准确、流畅地执行。
5、“更新更新”功能交互——更贴心的操作体验。 360安全浏览器SE9版还在平台右侧的插件栏和个人中心采用了全新的交互形式,让用户可以自定义自己需要的插件。 个人中心也更加人性化。 同时,部分客户端功能采用网页方式重新设计,如扩展管理、登录管家管理、收藏夹整理等,为用户提供“更新”、更贴心的体验。
下载地址:360浏览器


























